Chapter 2: Semiconductor fundamentals
2.3 Energy bands

2.2 Crystals and crystal structures

2.2.1. Bravais lattices
2.2.2. Miller indices, crystal planes and directions
2.2.3. Common semiconductor crystal structures
2.2.4. Growth of semiconductor crystals

Solid materials are classified by the way the atoms are arranged within the solid. Materials in which atoms are placed at random are called amorphous. Materials in which atoms are placed in a highly ordered structure are called crystalline. Poly-crystalline materials are materials with a high degree of short-range order and no long-range order. These materials consist of small crystalline regions with random orientation called grains, separated by grain boundaries. Crystals naturally form as liquid material cools down, since the close proximity of atoms lowers their energy. However, since crystallization typically occurs in multiple locations simultaneously, one finds that the poly-crystalline structure is quite common except for materials such as glass which tend to be amorphous. Crystalline silicon dioxide does occur in the form of quartz but only if the temperature and pressure promote crystal formation.

Crystalline semiconductors, in which atoms are placed in a highly ordered structure, are of primary interest in this text. Such materials are categorized by their crystal structure and the underlying lattice. While some crystals have a single atom placed at each lattice point, most crystals have a combination of atoms associated with each lattice point. This combination of atoms is also called the basis.

The classification of lattices, the common semiconductor crystal structures and the growth of single-crystal semiconductors are discussed in the following sections.

2.2.1 Bravais lattices

Next Subsection

The Bravais lattices are the distinct lattice types, which when repeated can fill the whole space. The lattice can therefore be generated by three unit vectors, and a set of integers k, l and m so that each lattice point, identified by a vector , can be obtained from:

(2.2.1)

The construction of the lattice points based on a set of unit vectors is illustrated by Figure 2.2.1.

Figure 2.2.1:The construction of lattice points using unit vectors

In two dimensions, there are five distinct Bravais lattices, while in three dimensions there are fourteen. The lattices in two dimensions are the square lattice, the rectangular lattice, the centered rectangular lattice, the hexagonal lattice and the oblique lattice as shown in Figure 2.2.2. It is customary to organize these lattices in groups, which have the same symmetry pproperties. An example is the rectangular and the centered rectangular lattice. As can be seen on the figure, all the lattice points of the rectangular lattice can be obtained by a combination of the lattice vectors . The centered rectangular lattice can be constructed in two ways. It can be obtained by starting with the same lattice vectors as those of the rectangular lattice and then adding an additional atom at the center of each rectangle in the lattice. This approach is illustrated by Figure 2.2.2 c). The lattice vectors generate the traditional unit cell and the center atom is obtained by attaching two lattice points to every lattice point of the traditional unit cell. The alternate approach is to define a new set of lattice vectors, one identical to and another starting from the same origin and ending on the center atom. These lattice vectors generate the so-called primitive cell and directly define the centered rectangular lattice.

Figure 2.2.2.:The five Bravais lattices of two-dimensional crystals: (a) square, (b) rectangular, (c) centered rectangular, (d) hexagonal and (e) oblique

The five Bravais lattices are mathematically described in Table 2.2.1. a1 and a2 are the magnitudes of the unit vectors and a is the angle between them.

Table 2.2.1.:Bravais lattices of two-dimensional crystals

The same approach is used for lattices in three dimensions. The fourteen lattices of three-dimensional crystals are classified as shown in Table 2.2.2, where a1, a2 and a3 are the magnitudes of the unit vectors defining the traditional unit cell and α, β, and γ are the angles between these unit vectors.

Table 2.2.2.:Bravais lattices of three-dimensional crystals

The cubic lattices are an important subset of these fourteen Bravais lattices since a large number of semiconductors have a cubic lattice. The three cubic Bravais lattices are the simple cubic (SC) lattice, the body-centered cubic (BCC) lattice and the face-centered cubic (FCC) lattice as shown in Figure 2.2.3. Since all unit vectors identifying the traditional unit cell have the same size, the crystal structure is completely defined by a single number, namely the lattice constant, a.

Figure 2.2.3.:a) The simple cubic (SC), b) the body-centered cubic (BCC), and c) the face centered cubic (FCC) lattice.

2.2.2 Miller indices, crystal planes and directions

Next Subsection

Crystal planes of a crystal are characterized by their Miller indices. The Miller indices are defined as the smallest possible integers, which have the same ratios as the inverse of the intersections of a given plane with a set of axes defined by the unit vectors of that crystal. This definition is further illustrated with Figure 2.2.4. Orthogonal axes are used in this example, but the procedure is equally valid for any angle between the unit vectors. The intersections between the plane and the axis occur at p, q, and r. The corresponding Miller indices are therefore , where A is an integer chosen such that the Miller indices are the smallest possible integers. It should be noted that the resulting Miller indices are the same for all parallel planes of atoms in a crystal.

Figure 2.2.4.:Intersections of a plane and the x, y and z axes, as used to determine the Miller indices of the plane.
Example 2.0
print file in PDF format
The intercepts of a crystal plane with the axis defined by a set of unit vectors are at 2a, -3b and 4c. Find the corresponding Miller indices of this and all other crystal planes parallel to this plane.
Solution

The Miller indices are obtained in the following three steps:

  1. Identify the intersections with the axis, namely 2, -3 and 4
  2. Calculate the inverse of each of those intercepts, resulting in 1/2, -1/3 and 1/4.
  3. Find the smallest integers proportional to the inverse of the intercepts. Multiplying each fraction with the product of each of the intercepts (24 = 2 x 3 x 4) does result in integers, but not always the smallest integers. These are obtained in this case by multiplying each fraction by 12.
The Miller indices of this plane and all parallel planes are therefore . Note that the negative indices are indicated with a bar above the integer for a more compact notation.

2.2.3 Common semiconductor crystal structures

Next Subsection

The most common crystal structure among frequently used semiconductors is the diamond lattice, shown in Figure 2.2.5. Each atom in the diamond lattice has a covalent bond with four adjacent atoms, which together form a tetrahedron. This lattice can also be formed from two face-centered-cubic lattices, which are displaced along the body diagonal of the larger cube in Figure 2.2.5 by one quarter of that body diagonal. The diamond lattice therefore is a face-centered-cubic lattice with a basis containing two identical atoms.

Figure 2.2.5.:The diamond lattice of silicon and germanium

Compound semiconductors such as GaAs and InP have a crystal structure that is similar to that of diamond. However, the lattice contains two different types of atoms. Each atom still has four covalent bonds, but these are bonds to atoms of the other type. This structure is referred to as the zinc-blende lattice, named after zinc-blende crystal (ZnS) as shown in Figure 2.2.6. Both the diamond lattice and the zinc-blende lattice are cubic lattices. A third common crystal structure is the hexagonal structure also referred to as the wurzite crystal structure, which is the hexagonal form of zinc sulfide (ZnS).

Many semiconductor materials can have more than one crystal structure. A large number of compound semiconductors including GaAs, GaN and ZnS can be either cubic or hexagonal. SiC can be cubic or one of several different hexagonal crystal structures.

The cubic crystals are characterized by a single parameter, the lattice constant a, while the hexagonal structures are characterized in the hexagonal plane by a lattice constant a and by the distance between the hexagonal planes, c.

Figure 2.2.6.:The zinc-blende crystal structure of GaAs and InP
Example 2.1
print file in PDF format
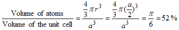
Calculate the maximum fraction of the volume in a simple cubic crystal occupied by the atoms. Assume that the atoms are closely packed and that they can be treated as hard spheres. This fraction is also called the packing density.
Solution

The atoms in a simple cubic crystal are located at the corners of the units cell, a cube with side a. Adjacent atoms touch each other so that the radius of each atom equals a/2. There are eight atoms occupying the corners of the cube, but only one eighth of each is within the unit cell so that the number of atoms equals one per unit cell. The packing density is then obtained from:

or about half the volume of the unit cell is occupied by the atoms.

The packing density of the four cubic crystals previously described is listed below. The number of closest neighbors is listed as well.

Close packing of atoms results in a lower energy and therefore a preferred arrangement. Based on the table above, one finds that the FCC structure is preferred since the largest number of close neighbors results in the lowest energy of particles. However, the required number of chemical bonds must be satisfied at the same time. FCC crystals therefore typically occur when the strength of the chemical bonds is relatively weak such as for monovalent metals including copper, gold, and silver. Another example is opal, a gemstone, which consists of submicron silica spheres. Van der Waals forces dominate in this structure, while there is no further selection, as there are no chemical bonds. Opal is therefore a closed packed FCC structure. Group IV covalent semiconductors including silicon and germanium need to have four neighbors to obtain a fully filled outer shell by sharing their electrons in the outer shell with neighboring atoms. The diamond structure satisfies this requirement and is indeed the corresponding crystal structure.

2.2.4 Growth of semiconductor crystals

Next Subsection

Like most crystals, semiconductor crystals can be obtained by cooling the molten semiconductor material. However, this procedure yields poly-crystalline material since crystals start growing in different locations with a different orientation. Instead, when growing single-crystalline silicon, one starts with a seed crystal and dips one end into the melt. By controlling the temperature difference between the seed crystal and the molten silicon, the seed crystal slowly grows. The result is a large single-crystal silicon boule. Such boules have a cylindrical shape, in part because the seed crystal is rotated during growth and in part because of the cylindrical shape of the crucible containing the melt. The boule is then cut into "wafers" with a diamond saw and further polished to yield the starting material for silicon device fabrication.

truenano.com/PSD20

Boulder, January 2026